高校化学の高分子化合物の分野は、
覚えることが多くてとっても大変ですよね。
その中でも「糖類」は覚えるだけでなく、
立体的な構造式を書くのにも一苦労です。
あなたも糖類の名前を覚えるのに苦労したり、
構造式を正確に暗記するのに苦労したりしていませんか?
糖類の名前や構造式・性質を覚えられないのは、
糖類の本質的な分類の仕方や構造式の捉え方を、
理解していないからです。
ここでは糖類の本質的な考え方をお伝えします。
この記事の内容を理解することで、
糖類の名前を本質的・体型的に理解でき、
構造式で必要以上に悩む必要がなくなります。
センター試験の過去問でいつも間違えてしまう、
覚えたと思っても次の日には忘れてしまう、
そんなあなたは必見です。
目次
糖類とは

ごはんやパンを噛み続けていると、
だんだん甘く感じてきませんか?
それはご飯やパンに含まれるデンプンが分解され、
「グルコース(ブドウ糖)」に変化するからです。
グルコースの化学式はC6H12O6=C6(H2O)6であり、
1つの炭素に1つの水がくっついた形になっています。
このような構造を持つ物質を「単糖」といいます。

そしてデンプンのように単糖が次々とつながった、
巨大な糖のかたまりを「多糖」といいます。

今回はこれら糖類の性質を順番に確認していきましょう。
単糖の性質
まずは単糖の性質を見ていきますが、
その前に基本的なことをお伝えしておきます。
まず先ほどのグルコースは6つの炭素からできており、
「六炭糖」といいます。
この6つの炭素にはそれぞれ番号があります。
六員環の酸素から時計回りにスタートし、
順番に1から6まで番号を振っていくのです。

この数字は糖の説明でよく出てくるので、
きちんと押さえておいてください。
それでは実際に性質を確認します。
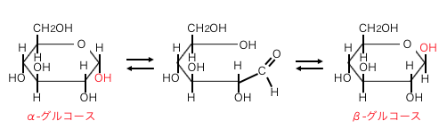
単糖の水溶液中での構造
単糖はたくさんのヒドロキシ基-OHを持っており、
水によく溶けます。
そして水溶液中では以下のように、
六員環の酸素と隣の-OHが相互作用し、
開環して「鎖状構造」になることができます。

この反応は平衡反応で、
溶液中では環状構造と鎖状構造が混ざって存在します。
注意が必要なのは次です。
鎖状構造から環状構造に戻るときに、
1位の炭素の-OHが上下逆さまになることで、
構造異性体が生まれます。
これによって「α-単糖」と「β-単糖」という
2つの構造異性体が生じるのです。

だから水溶液中の単糖は、
このような複数の異性体の平衡状態になっているのです。
単糖は還元性を持つ
先ほどの鎖状構造を見ると、
アルデヒド基-CHOがありますね。
これによって単糖は「還元性」を持っています。

単糖は銀鏡反応を示し、フェーリング液を還元します。
不斉炭素原子による光学活性
単糖は6位の炭素を除いた炭素原子が、
全て不斉炭素原子になっています。
このうち1位の炭素による異性体がα-単糖とβ-単糖。
となると2〜5位までの4つの不斉炭素原子から、
24=16通りの構造異性体が生じます。

これによって単糖にはたくさんの種類があるのです。
このせいで受験生は暗記に苦労するんですよね。
しかしそんな構造異性体も、
正しい考え方で整理すれば簡単に覚えられます。
ということで次の章では単糖の種類を確認してみましょう。
単糖の種類
先ほど説明した通り、
不斉炭素原子のせいで構造異性体が大量に生まれるのでした。
そんな異性体たちを効率良く覚えるためには、
「フィッシャー投影式」を考えるとよいです。
まずは単糖の図示の仕方から確認しましょう。
フィッシャー投影式
「フィッシャー投影式」とは、
立体構造に光を当てたときの「影」に注目した書き方です。

これによって先ほどのグルコースを書くと以下のようになります。

かなり見やすくなりましたね。
きちんと実際の構造と比較しながら見ておきましょう。
単糖の種類①:アルドース
フィッシャー投影式で書いたときに、
以下のような構造になるのが「アルドース」です。

これらのうち入試レベルで知っておくべきなのは、
「グルコース」「ガラクトース」「マンノース」の3つ。

グルコースは「右左右右」、
ガラクトースは「右左左右」、
マンノースは「左左右右」となります。
念のためにいつもの構造式でも書いておきます。
先ほどの右や左は2〜5位であり、
環状構造では5位の-OHが六員環に含まれるのに注意です。

グルコースを書く練習さえしておけば、
他の2つは「右左」を覚えるだけで書けるようになります。
何度か繰り返し唱えておきましょう。
つまり不斉炭素原子を5個(異性体を32個)持つ六炭糖は、グルコースをはじめとする8種類にα・β、D・Lをつけて区別します(α-D-グルコース、β-L-マンノースなど)。
単糖の種類②:ケトース
フィッシャー投影式で書いたときに、
以下のような構造になるのが「ケトース」です。

ケトースで覚えておくべきなのは、
以下の「フルクトース」だけです。

フルクトースは「左右右」となります。
(不斉炭素原子がアルドースより少ないです)
たった1つだけなので頑張って覚えてしまいましょう。
さて、単糖の種類の説明ではないのですが、
ケトースは溶液中での状態に注意が必要です。
アルドースは5位の-OHとC=Oで環を作りましたが、
ケトースは5位の-OHとC=Oで五員環を作る場合と、
6位の-OHとC=Oで六員環を作る場合があります。

α、βも分類すると溶液中で5つの状態になっているのです。
重要な性質なので、
フルクトースの性質として覚えておきましょう。
結局のところ、単糖は鎖状になれればどの種類でも還元性を持ちます。
単糖の種類:五炭糖
いままでは全て六炭糖を扱ってきましたが、
発展レベルとして五炭糖の「リボース」「デオキシリボース」があります。

構造式までは覚えなくてもいいかもですが、
名前くらいは知っておいた方がいいでしょう。
リボース、デオキシリボースはそれぞれ、
RNA、DNAに使われています。
ちなみにリボースさえ覚えてしまえば、
de-「外へ」oxy-「酸素」リボースの名前通り、
リボースの2位の酸素を消せばデオキシリボースの構造式になります。
まとめ
今回は単糖の解説でした。
今回出てきた単糖をまとめると以下の通り。

これだけ複雑な化合物を一瞬では覚えられないので、
フィッシャー投影式を使って繰り返し復習しましょう。

コメントを書く