今回は芳香族カルボン酸の解説です。
芳香族カルボン酸は構造決定で頻出なのに、
教科書ではあまり詳しく解説されません。
それはおそらく、
芳香族であってもカルボン酸としての性質は、
大きくは変わらないからでしょう。
しかし、
芳香族カルボン酸をおろそかにしているせいで、
構造決定の問題が曖昧になっている人が多いです。
ここでは芳香族カルボン酸の解説をしていきます。
この記事を最後まで理解すれば、
芳香族カルボン酸の特有の現象も完璧に理解でき、
今まで構造決定でモヤモヤしていた部分が解消されるでしょう。
どこよりも本質的に、しかもわかりやすく説明していきます。
目次
芳香族カルボン酸とは
「芳香族カルボン酸」とは、
ベンゼン環の水素が-COOHに置き換えられた化合物です。

わざわざ芳香族カルボン酸と名付けていますが、
性質自体はただのカルボン酸と変わりません。
一般のカルボン酸同様、
・酸の反応(中和や弱酸遊離)
・脱水反応
・エステル化
を起こすことができます。
しかし芳香族カルボン酸は、
ベンゼンがあることによって製法が変わってくるのです。
芳香族カルボン酸の製法は構造決定の問題で、
必ずといっていいほど問われる知識なので、
きっちりと理解していきましょう。
【合わせてチェック】
・カルボン酸を解説!酸性が強い理由から融点が高い理由まで、仕組みから解説!
芳香族カルボン酸の製法
通常カルボン酸はアルコールの酸化で得られます。

よってベンゼン環があっても、
アルコールの構造さえあれば以下のように、
芳香族カルボン酸が得られます。

しかし芳香族カルボン酸を得る方法はこれだけではないのです。
ベンゼン環があることによって、
別の方法でも-COOHをくっつけることができます。
それでは芳香族カルボン酸特有の製法の仕組みを見ていきましょう。
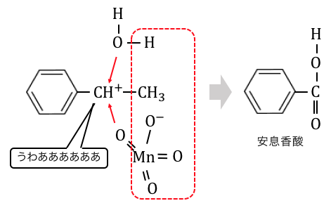
過マンガン酸カリウムによる製法
ベンゼンに直接-COOHをつけることはできないので、
今回は材料として「エチルベンゼン」を用意します。

フェノールの-OHが電子不足で電離したのと同様、
ベンゼンに直接くっついた炭素は少し電子不足です。
そんなエチルベンゼンは、
以下のように水素が取れやすくなっています。

そんなところに電気陰性度の大きい酸素を持った、
水H2Oと過マンガン酸イオンMnO4–が襲ってくるのです。
その結果ベンゼンの隣の炭素は酸化されてしまいます。

このようにして芳香族カルボン酸ができました。
反応の仕組みからわかるように、
この反応はベンゼン環に炭素さえ付いていれば起こります。
つまり今回はエチルベンゼンで考えましたが、
ベンゼン環にアルキル基さえついていれば問題ないということです。

フェノール類の場合の製法
ベンゼン環に-OHが付いたフェノール類の場合は、
高温高圧で二酸化炭素CO2と反応させることも可能です。
フェノールは以下のように、
「オルト-パラ配向性」がありましたね。

CO2を高温にすることで、
以下のように不安定な状態にしてあげます。

フェノールが電離しやすいようにNaOHを加え、
ナトリウムフェノキシドになったところに、
高温高圧でCO2を入れることでカルボン酸ができます。

カルボキシ基ができると分子内で弱酸遊離が起こり、
-ONaが-OHとなることに注意しましょう。
【合わせてチェック】
・アルコール・エーテルの性質を完全攻略!
芳香族カルボン酸の種類
芳香族カルボン酸の中でも特に入試で問われる、
「安息香酸」、「フタル酸」、「サリチル酸」
について解説しておきます。
安息香酸
「安息香酸」はベンゼンに-COOHが1つ付いた、
最も単純な芳香族カルボン酸です。

先ほども言った通り性質はカルボン酸と変わらず、
例えば以下のような反応を起こします。

フタル酸
「安息香酸」はベンゼンに-COOHが2つ付いた、
3つの構造異性体を持つ芳香族カルボン酸です。

基本の反応は安息香酸と変わらないですが、
-COOHが隣り合っているフタル酸は分子内脱水が可能です。

サリチル酸
「サリチル酸」はフェノールのオルト位に、
-COOHが付いた芳香族カルボン酸です。

見た目からわかるように、
サリチル酸はフェノールとカルボン酸の性質を両方持ちます。
少しややこしいので反応ごとに確認しておきます。
酸としての反応
サリチル酸は酸として中和・弱酸遊離反応を起こしますが、
酸の強さによって反応が変わることに注意が必要です。

エステル化
フェノール類でありながら-COOHを持つことで、
「アルコール」と「無水酢酸」の両方に対してエステル化が可能です。

「サリチル酸メチル」は湿布に含まれる成分で、
捻挫や筋肉痛に効くような消炎作用があります。
「アセチルサリチル酸」は別名アスピリンと呼ばれ、
経口投与により解熱鎮痛作用を示します。
どちらも身近な医薬品ですね。
まとめ
今回は芳香族カルボン酸の解説でした。
芳香族カルボン酸は、
アルキルベンゼンの酸化によって得られるのでしたね。
基本的な性質は一般のカルボン酸と変わらないので、
あまり注意して勉強しない芳香族カルボン酸ですが、
構造決定の問題では必ず出てくるのでよく復習しておきましょう。

本質を突いた大変わかりやすい説明だと思います。ありがとうございます。
エステル化の説明の反応式(サリチル酸と無水酢酸のアセチル化)についてですが、生成物はアセチルサリチル酸と酢酸になると思われますがいかがでしょうか。ご確認のほど、よろしくお願いいたします。
コメントありがとうございます。
本当ですね、重要なところで書き間違えていました。
ご指摘ありがとうございます、訂正しておきましたm(__)m